首 页
新闻中心
信息公开
工会业务
职工书屋
首页
>
信息公开
>
通知公告
>
南工发
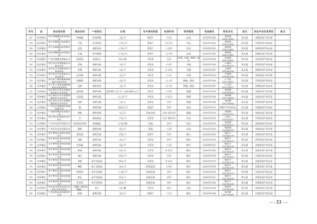
关于进一步推进消费扶贫工作的通知
来源: 作者: 浏览:次 发表时间:2021-02-04 16:38:05
摘要:
关于进一步推进消费扶贫工作的通知
33
/
54
首页
上一页
31
32
33
34
35
36
下一页
尾页
最新推荐
首届(中国·南宁)人工智能应用创新创业邀请赛启动
首届(中国·南宁)人工智能应用创新创业邀请赛启动
[详细]
点击排行
22881
1
王东明:在中国工会第十八次全国代表…
18396
2
南宁市总工会各部室简介…
14370
3
市总直属企事业单位
14217
4
南宁市总工会集中采购管理办法…
13103
5
南宁市总工会基层联系指导组分组名…
12905
6
《劳动能力鉴定 职工工伤与职业病…
11951
7
中华全国总工会关于印发《机关工会…
11769
8
南宁市总工会民族团结宣传…
11657
9
南宁市总工会办公室关于转发《基层…
11285
10
广西壮族自治区工资支付暂行规定…
近期推荐
▪
首届(中国·南宁)人工智能应用创新创业邀请…
首届(中国·南宁)人工智能应用创新创业邀请赛启动 ...[详细]
▪
南宁市总工会召开2025年上半年工作总结和…
分析总结上半年工作成效,研究部署下半年工作安排。...[详细]
▪
劳模引领聚合力 铸牢中华民族共同体意识…
“职工公益讲堂”开讲。...[详细]
▪
团结竞技展风采 活力奋进向未来——2025…
2025年南宁市直机关“民族团结杯”健身运动会在李宁体育园火热开赛。...[详细]
▪
南宁市深化产业工人队伍建设改革联席会议…
5月14日,南宁市深化产业工人队伍建设改革联席会议第一次全体会议在南宁市总工会召开。...[详细]